145.二叉树的后序遍历


145.二叉树的后序遍历

给你一棵二叉树的根节点 root ,返回其节点值的 后序遍历

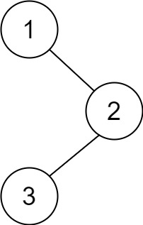
示例 1:

img

输入:root = [1,null,2,3]
输出:[3,2,1]

示例 2:

输入:root = []
输出:[]

示例 3:

输入:root = [1]
输出:[1]

提示:

  • 树中节点的数目在范围 [0, 100]
  • -100 <= Node.val <= 100

题解:

/**
 * Definition for a binary tree node.
 * public class TreeNode {
 *     int val;
 *     TreeNode left;
 *     TreeNode right;
 *     TreeNode() {}
 *     TreeNode(int val) { this.val = val; }
 *     TreeNode(int val, TreeNode left, TreeNode right) {
 *         this.val = val;
 *         this.left = left;
 *         this.right = right;
 *     }
 * }
 */
class Solution {
    public List<Integer> postorderTraversal(TreeNode root) {
        ArrayList<Integer> res = new ArrayList<Integer>();
        inorder(root, res);
        return res;
    }
    public void inorder(TreeNode root, ArrayList<Integer> res) {
        if (root == null) {
            return ;
        }
        inorder(root.left, res);
        inorder(root.right, res);
        res.add(root.val);
    }
}

文章作者: Feliks
版权声明: 本博客所有文章除特別声明外,均采用 CC BY 4.0 许可协议。转载请注明来源 Feliks !
评论
  目录