206.反转链表


206.反转链表

给你单链表的头节点 head ,请你反转链表,并返回反转后的链表。

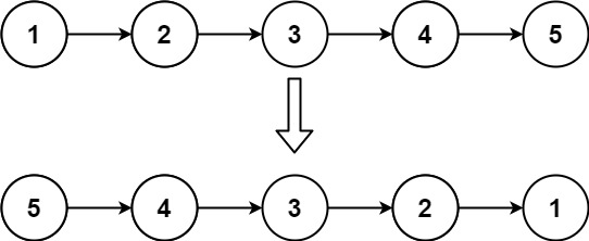
示例 1:

img

输入:head = [1,2,3,4,5]
输出:[5,4,3,2,1]

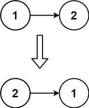
示例 2:

img

输入:head = [1,2]
输出:[2,1]

示例 3:

输入:head = []
输出:[]

提示:

  • 链表中节点的数目范围是 [0, 5000]
  • -5000 <= Node.val <= 5000

题解:

/**
 * Definition for singly-linked list.
 * public class ListNode {
 *     int val;
 *     ListNode next;
 *     ListNode() {}
 *     ListNode(int val) { this.val = val; }
 *     ListNode(int val, ListNode next) { this.val = val; this.next = next; }
 * }
 */
 /**
    头插法
  */
class Solution {
    public ListNode reverseList(ListNode head) {
        ListNode cur = head;
        ListNode newHead = null;
        while (cur != null) {
            ListNode next = cur.next;
            cur.next = newHead;
            newHead = cur;
            cur = next;
        }
        return newHead;
    }
}

文章作者: Feliks
版权声明: 本博客所有文章除特別声明外,均采用 CC BY 4.0 许可协议。转载请注明来源 Feliks !
评论
  目录