222.完全二叉树的节点个数


222.完全二叉树的节点个数

给你一棵 完全二叉树 的根节点 root ,求出该树的节点个数。

完全二叉树 的定义如下:在完全二叉树中,除了最底层节点可能没填满外,其余每层节点数都达到最大值,并且最下面一层的节点都集中在该层最左边的若干位置。若最底层为第 h 层,则该层包含 1~ 2h 个节点。

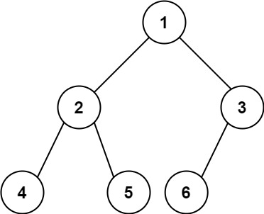
示例 1:

img

输入:root = [1,2,3,4,5,6]
输出:6

示例 2:

输入:root = []
输出:0

示例 3:

输入:root = [1]
输出:1

提示:

  • 树中节点的数目范围是[0, 5 * 104]
  • 0 <= Node.val <= 5 * 104
  • 题目数据保证输入的树是 完全二叉树

题解:

/**
 * Definition for a binary tree node.
 * public class TreeNode {
 *     int val;
 *     TreeNode left;
 *     TreeNode right;
 *     TreeNode() {}
 *     TreeNode(int val) { this.val = val; }
 *     TreeNode(int val, TreeNode left, TreeNode right) {
 *         this.val = val;
 *         this.left = left;
 *         this.right = right;
 *     }
 * }
 */
// class Solution {
//     int sum = 0;
//     public int countNodes(TreeNode root) {
//         inorder(root);
//         return sum;
//     }
//     public void inorder(TreeNode root) {
//         if (root == null) {
//             return ; 
//         }
//         inorder(root.left);
//         sum++;
//         inorder(root.right);
//     }
// }
class Solution {
    public int countNodes(TreeNode root) {
        if (root == null) {
            return 0;
        }
        int left = countNodes(root.left);
        int right = countNodes(root.right);
        return left + right + 1;
    }
}

文章作者: Feliks
版权声明: 本博客所有文章除特別声明外,均采用 CC BY 4.0 许可协议。转载请注明来源 Feliks !
评论
  目录