257.二叉树的所有路径


257.二叉树的所有路径

给你一个二叉树的根节点 root ,按 任意顺序 ,返回所有从根节点到叶子节点的路径。

叶子节点 是指没有子节点的节点。

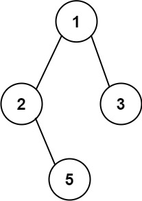
示例 1:

img

输入:root = [1,2,3,null,5]
输出:[“1->2->5”,”1->3”]

示例 2:

输入:root = [1]
输出:[“1”]

提示:

  • 树中节点的数目在范围 [1, 100]
  • -100 <= Node.val <= 100

题解:

/**
 * Definition for a binary tree node.
 * public class TreeNode {
 *     int val;
 *     TreeNode left;
 *     TreeNode right;
 *     TreeNode() {}
 *     TreeNode(int val) { this.val = val; }
 *     TreeNode(int val, TreeNode left, TreeNode right) {
 *         this.val = val;
 *         this.left = left;
 *         this.right = right;
 *     }
 * }
 */
class Solution {
    public List<String> binaryTreePaths(TreeNode root) {
        List<String> paths = new LinkedList<>();
        inorder(root, "", paths);
        return paths;
    }
    private void inorder(TreeNode root, String path, List<String> paths) {
        if (root != null) {
            StringBuilder sb = new StringBuilder(path);
            sb.append(Integer.toString(root.val));
            if (root.left == null && root.right == null) {
                paths.add(sb.toString());
            } else {
                sb.append("->");
                inorder(root.left, sb.toString(), paths);
                inorder(root.right, sb.toString(), paths);
            }
        }
    }
}

文章作者: Feliks
版权声明: 本博客所有文章除特別声明外,均采用 CC BY 4.0 许可协议。转载请注明来源 Feliks !
评论
  目录