404.左叶子之和


404.左叶子之和

给定二叉树的根节点 root ,返回所有左叶子之和。

示例 1:

img

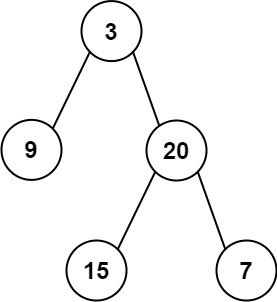
输入: root = [3,9,20,null,null,15,7]
输出: 24
解释: 在这个二叉树中,有两个左叶子,分别是 9 和 15,所以返回 24

示例 2:

输入: root = [1]
输出: 0

提示:

  • 节点数在 [1, 1000] 范围内
  • -1000 <= Node.val <= 1000

题解:

/**
 * Definition for a binary tree node.
 * public class TreeNode {
 *     int val;
 *     TreeNode left;
 *     TreeNode right;
 *     TreeNode() {}
 *     TreeNode(int val) { this.val = val; }
 *     TreeNode(int val, TreeNode left, TreeNode right) {
 *         this.val = val;
 *         this.left = left;
 *         this.right = right;
 *     }
 * }
 */
class Solution {
    int sum = 0;
    public int sumOfLeftLeaves(TreeNode root) {
        if (root == null) {
            return 0;
        }
        if (root.left != null && root.left.left == null && root.left.right == null) {
            sum += root.left.val;
        }
        sumOfLeftLeaves(root.left);
        sumOfLeftLeaves(root.right);
        return sum;
    }
}

文章作者: Feliks
版权声明: 本博客所有文章除特別声明外,均采用 CC BY 4.0 许可协议。转载请注明来源 Feliks !
评论
  目录