110.平衡二叉树


110.平衡二叉树

给定一个二叉树,判断它是否是

平衡二叉树

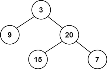
示例 1:

img

输入:root = [3,9,20,null,null,15,7]
输出:true

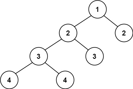
示例 2:

img

输入:root = [1,2,2,3,3,null,null,4,4]
输出:false

示例 3:

输入:root = []
输出:true

提示:

  • 树中的节点数在范围 [0, 5000]
  • -104 <= Node.val <= 104

题解:

/**
 * Definition for a binary tree node.
 * public class TreeNode {
 *     int val;
 *     TreeNode left;
 *     TreeNode right;
 *     TreeNode() {}
 *     TreeNode(int val) { this.val = val; }
 *     TreeNode(int val, TreeNode left, TreeNode right) {
 *         this.val = val;
 *         this.left = left;
 *         this.right = right;
 *     }
 * }
 */
class Solution {
    public boolean isBalanced(TreeNode root) {
        // root为null的情况有两种:1.一开始传进来的root为null 2.通过迭代至二叉树的叶子节点
        if (root == null) {
            return true;
        }
        // 如果左子树的最大深度减去右子树的最大深度的绝对值>1则返回false
        if (Math.abs(maxDepth(root.left) - maxDepth(root.right)) > 1) {
            return false;
        }
        // 迭代左子树和右子树进去判断
        return isBalanced(root.left) && isBalanced(root.right);
    }

    // 二叉树的最大深度
    private int maxDepth(TreeNode node) {
        if (node == null) {
            return 0;
        }
        int left = maxDepth(node.left);
        int right = maxDepth(node.right);
        return Math.max(left, right) + 1;
    }
}

文章作者: Feliks
版权声明: 本博客所有文章除特別声明外,均采用 CC BY 4.0 许可协议。转载请注明来源 Feliks !
评论
  目录