111.二叉树的最小深度


111.二叉树的最小深度

给定一个二叉树,找出其最小深度。

最小深度是从根节点到最近叶子节点的最短路径上的节点数量。

说明:叶子节点是指没有子节点的节点。

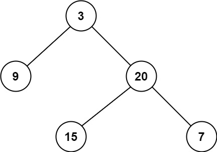
示例 1:

img

输入:root = [3,9,20,null,null,15,7]
输出:2

示例 2:

输入:root = [2,null,3,null,4,null,5,null,6]
输出:5

提示:

  • 树中节点数的范围在 [0, 105]
  • -1000 <= Node.val <= 1000

题解:

/**
 * Definition for a binary tree node.
 * public class TreeNode {
 *     int val;
 *     TreeNode left;
 *     TreeNode right;
 *     TreeNode() {}
 *     TreeNode(int val) { this.val = val; }
 *     TreeNode(int val, TreeNode left, TreeNode right) {
 *         this.val = val;
 *         this.left = left;
 *         this.right = right;
 *     }
 * }
 */
class Solution {
    public int minDepth(TreeNode root) {
        if (root == null) {
            return 0;
        }
        // 如果当前节点的左节点为null,右节点不为null则进入右节点
        if (root.left == null && root.right != null) {
            return minDepth(root.right) + 1;
        }
        // 如果当前节点的右节点为null,左节点不为null则进入左节点
        if (root.left != null && root.right == null) {
            return minDepth(root.left) + 1;
        }
        
        return Math.min(minDepth(root.left), minDepth(root.right)) + 1;
    }
}

文章作者: Feliks
版权声明: 本博客所有文章除特別声明外,均采用 CC BY 4.0 许可协议。转载请注明来源 Feliks !
评论
  目录